Pour mener à bien le projet, le temps doit être géré d’une manière optimale et organisée.
Planifier des tâches, c’est déterminer leur ordre d’exécution les unes par rapport aux autres. Il s’agit donc de repérer les antériorités de chacune d’elles.
On distingue les tâches simples et les tâches complexes.
1.1.1 Les tâches simples
Parfois, une tâche n’est précédée que d’une tâche antérieure (c’est-à-dire exécutée avant).
Exemple : le règlement des factures.
La tâche « règlement des factures » ne pourra être commencée que lorsque la tâche « contrôle des factures » sera terminée. Dans ce cas, les durées sont additionnées.

1.1.2 Les tâches complexes
Parfois, une tâche peut comporter des antériorités multiples (plusieurs tâches exécutées avant).
Exemple : les tâches « livraison de l’imprimante » et « livraison des cartouches » doivent être achevées pour commencer la tâche « impression ».

Lors de la réalisation d’un projet, la prévision des durées s’effectue :
1.2.1 La prévision de la durée de chaque tâche
Une telle prévision ne peut être qu’une estimation. Il est prudent de prévoir une marge de sécurité, notamment pour les tâches dont l’exécution dépend de l’extérieur de l’entreprise. Cette prévision s’effectue souvent au moment où l’on dresse la liste de contrôle initiale ou le planning.
A – La liste de contrôle (check-list, en anglais)
La liste de contrôle se présente sous la forme d’un tableau à double entrée qui permet d’évaluer le temps dédié à la réalisation de chacune des tâches et de contrôler leur avancement.
Pour établir une liste de contrôle, il faut :
Exemple : Liste de contrôle – Projet d’aménagement de l’espace d’accueil.
Repère |
Nature de la tâche |
Durée prévue (jours) |
Antériorité |
A |
Choix d’un architecte d’intérieur |
1 |
|
B |
Définition du projet d’aménagement de l’espace |
2 |
A |
C |
Définition des besoins en revêtements et mobiliers et choix |
1 |
B |
D |
Appels d’offres auprès des fournisseurs |
1 |
C |
E |
Réception des offres, dépouillement et choix des fournisseurs |
2 |
D |
F |
Exécution des travaux de peinture des murs |
1 |
E |
G |
Installation du revêtement au sol |
2 |
F |
H |
Commande du mobilier |
1 |
E |
I |
Installation du mobilier |
1 |
G et H |
B – Le planning
Le planning est un outil de visualisation de l’information qui permet de surveiller l’exécution de tâches en mobilisant les ressources de l’organisation : personnel, matériel, etc.
Il s’agit d’un tableau à double entrée où l’on place en abscisse l’échelle des temps et en ordonnée les tâches à accomplir.
Exemple : Planning – Projet d’aménagement de l’espace d’accueil (correspondant à la liste de contrôle).
|
Jours |
||||||||||
Repère |
1 |
2 |
3 |
4 |
5 |
6 |
7 |
8 |
9 |
10 |
11 |
A |
|
|
|
|
|
|
|
|
|
|
|
B |
|
|
|
|
|
|
|
|
|
|
|
C |
|
|
|
|
|
|
|
|
|
|
|
D |
|
|
|
|
|
|
|
|
|
|
|
E |
|
|
|
|
|
|
|
|
|
|
|
F |
|
|
|
|
|
|
|
|
|
|
|
G |
|
|
|
|
|
|
|
|
|
|
|
H |
|
|
|
|
|
|
|
|
|
|
|
I |
|
|
|
|
|
|
|
|
|
|
|
1.2.2 La prévision de la durée globale du projet
A – Le réseau PERT/le graphe de PERT (organiser le projet)
Le réseau PERT (Project Evaluation and Review Technique) est une technique permettant de gérer l’ordonnancement des tâches dans un projet ; c’est un outil de planification.
La réalisation d’un graphe de PERT est une technique simple qui permet :
L’addition de toutes les durées des tâches situées sur le chemin critique donne le délai de réalisation du projet.
Tout retard enregistré sur l’une des tâches du chemin critique pénalisera nécessairement l’ensemble du projet. C’est pourquoi l‘exécution des tâches critiques fera l’objet d’une surveillance particulière.
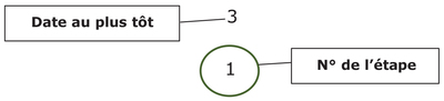
▶ Les règles de présentation du graphe PERT
Le graphe PERT est composé d’étapes et de tâches.



B – Le diagramme de Gantt (identifier les étapes)
Le diagramme de Gantt permet de visualiser dans le temps les diverses tâches liées composant un projet. Il est souvent utilisé en complément d’un réseau PERT. Il permet de représenter graphiquement l’avancement d’un projet.
Le diagramme de Gantt simplifie le suivi de l’avancement d’un projet. Cette méthode visuelle est efficace lorsqu’il s’agit de lister jusqu’à une vingtaine de tâches.
▶ Les règles de présentation d’un diagramme de Gantt
Lorsque la dernière tâche est représentée, il convient de déterminer le chemin critique.
▶ La démarche à adopter
Exemple : Liste des tâches.
Repère de la tâche |
Durée prévue (jours) |
Antériorité |
A |
1 |
|
B |
2 |
A |
C |
1 |
B |
D |
1 |
C |
E |
2 |
D |
F |
1 |
E |
G |
2 |
F |
H |
1 |
E |
I |
1 |
G et H |
Exemple : Diagramme de Gantt.

Il est important de contrôler que l’exécution de chaque tâche s’effectue dans les délais impartis.
La liste de contrôle « prévu/réalisé » est un outil couramment utilisé pour suivre efficacement le déroulement d’un projet.
Pour chaque tâche, la durée prévue et la durée effective sont mises en évidence. Le calcul des écarts (avance ou retard) permet au chef de projet d’en assurer plus efficacement le pilotage et de prendre d’éventuelles mesures correctives.
▶ La présentation de la liste de contrôle « prévu/réalisé »
La liste de contrôle fait apparaître la nature des tâches, les tâches antérieures, le fait d’appartenir (ou non) au chemin critique, la marge libre, la durée prévue, la durée réelle probable et l’écart probable entre les durées prévue et réelle.
Exemple : Liste de contrôle « prévu/réalisé » (en jours).
|
Nature de la tâche |
Tâches antérieures |
Critique O/N |
Marge libre |
Durée prévue (jours) |
Durée réelle |
Écart +/– |
A |
Choix d’un architecte d’intérieur |
– |
0 |
|
1 |
0,5 |
– 0,5 |
B |
Définition du projet d’aménagement de l’espace |
A |
0 |
|
2 |
1,5 |
– 0,5 |
C |
Définition des besoins en revêtements et mobiliers et choix |
B |
0 |
|
1 |
1,5 |
+ 0,5 |
D |
Appels d’offres auprès des fournisseurs |
C |
0 |
|
1 |
|
|
E |
Réception des offres, dépouillement et choix des fournisseurs |
D |
0 |
|
2 |
|
|
F |
Exécution des travaux de peinture des murs |
E |
0 |
|
1 |
|
|
G |
Installation du revêtement au sol |
F |
0 |
|
2 |
|
|
H |
Commande du mobilier |
E |
N |
4 |
1 |
|
|
I |
Installation du mobilier |
G et H |
0 |
|
1 |
|
|
|
|
Durée totale prévue |
11 |
|
|||
|
|
Durée totale probable |
10,5 |
|
|||
|
|
Écart total probable |
– 0,5 |
||||
La gestion administrative de projet peut être réalisée à partir d’un progiciel de gestion intégrée (PGI) ou d’un logiciel de gestion de projet.
Le module projet du progiciel permet l’organisation des tâches et la planification du travail à réaliser.
On distingue plusieurs étapes :

Il existe de nombreux gestionnaires de projet.
GanttProject, par exemple, est une application permettant de gérer un projet constitué de tâches auxquelles on assigne des propriétés (dates, ressources, priorité, etc.) et qu’on peut lier entre elles par des relations de dépendances. Le tout est présenté sous forme de diagramme de Gantt.

Le module projet du PGI et le logiciel de gestion de projet sont des outils mis à la disposition du gestionnaire administratif de projet qui le met à jour régulièrement et doit tenir compte des incidents, dans le traitement administratif du projet.
• Diagramme de Gantt : outil qui permet de représenter graphiquement l’avancement d’un projet.
• Liste de contrôle : liste qui permet de suivre le déroulement des activités et de s’assurer que chacune des tâches a été effectuée comme prévu.
• Liste de contrôle « prévu/réalisé » : similaire à la liste de contrôle classique mais permet aussi de mettre en évidence les écarts (avances, retards) entre les durées réalisées et les durées prévues.
• Planning : tableau qui offre une vue d’ensemble des informations et met en évidence les délais et les contraintes à respecter.
• Réseau PERT : technique qui permet de gérer l’ordonnancement des tâches.